Taro Logo

Find Mode in Binary Search Tree

Easy
Asked by:
Profile picture
Profile picture
Profile picture
Profile picture
+1
More companies
Profile picture
41 views
Topics:
TreesRecursion

Given the root of a binary search tree (BST) with duplicates, return all the mode(s) (i.e., the most frequently occurred element) in it.

If the tree has more than one mode, return them in any order.

Assume a BST is defined as follows:

  • The left subtree of a node contains only nodes with keys less than or equal to the node's key.
  • The right subtree of a node contains only nodes with keys greater than or equal to the node's key.
  • Both the left and right subtrees must also be binary search trees.

Example 1:

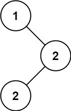
Input: root = [1,null,2,2]
Output: [2]

Example 2:

Input: root = [0]
Output: [0]

Constraints:

  • The number of nodes in the tree is in the range [1, 104].
  • -105 <= Node.val <= 105
Follow up: Could you do that without using any extra space? (Assume that the implicit stack space incurred due to recursion does not count).

Solution


Clarifying Questions

When you get asked this question in a real-life environment, it will often be ambiguous (especially at FAANG). Make sure to ask these questions in that case:

  1. What is the range of values that the nodes in the BST can hold? Can they be negative, zero, or floating-point numbers?
  2. What should I return if the BST is empty or contains only one node?
  3. If there are multiple modes (i.e., multiple values appearing with the same maximum frequency), should I return all of them? In what order?
  4. Are there any constraints on the structure of the BST? Is it guaranteed to be balanced or nearly balanced?
  5. Could there be duplicate values within the tree, and if so, how should I handle them when calculating the mode?

Brute Force Solution

Approach

The brute force method to find the mode in a Binary Search Tree involves checking every value in the tree. We will count how many times each value appears, and then identify the value or values that appear most frequently.

Here's how the algorithm would work step-by-step:

  1. Go through the entire tree and make a list of all the unique values that appear.
  2. For each unique value, revisit the entire tree and count how many times that specific value appears.
  3. Keep track of the count for each unique value.
  4. Once you have counted the occurrences of every unique value, find the highest count.
  5. The value or values that have this highest count are the mode(s) of the tree.

Code Implementation

def find_mode_brute_force(root):
    unique_values = []
    value_counts = {}

    def traverse_tree(node):
        if node:
            if node.val not in unique_values:
                unique_values.append(node.val)
            traverse_tree(node.left)
            traverse_tree(node.right)

    traverse_tree(root)

    # Iterate through each unique value
    for unique_value in unique_values:
        value_counts[unique_value] = 0

        def count_value(node, value_to_count):
            if node:
                if node.val == value_to_count:
                    value_counts[value_to_count] += 1

                count_value(node.left, value_to_count)
                count_value(node.right, value_to_count)

        # For each unique value, count occurrences
        count_value(root, unique_value)

    max_count = 0

    # Find the maximum count
    for unique_value in unique_values:
        if value_counts[unique_value] > max_count:
            max_count = value_counts[unique_value]

    modes = []

    # Collect the modes based on the maximum count
    for unique_value in unique_values:
        if value_counts[unique_value] == max_count:
            modes.append(unique_value)

    # Return the list of modes
    return modes

Big(O) Analysis

Time Complexity
O(n²)The algorithm first traverses the entire Binary Search Tree to identify all unique values, which takes O(n) time in the worst case, where n is the number of nodes. Then, for each of these unique values (at most n), it revisits the entire tree again to count its occurrences, taking O(n) time. Since we potentially iterate through the tree once for each unique value, and there could be up to n unique values, the nested process results in a time complexity of O(n * n), which simplifies to O(n²).
Space Complexity
O(N)The auxiliary space complexity is determined by the space used to store unique values in the binary search tree and the counts of each unique value. In the worst case, where all nodes in the BST have distinct values, the algorithm needs to store all N nodes in a list to hold the unique values. The counts for each unique value are also stored, requiring additional space proportional to the number of unique values, also bounded by N. Thus, the auxiliary space complexity is O(N).

Optimal Solution

Approach

To efficiently find the most frequent value (the mode) in a binary search tree, we take advantage of the tree's sorted nature. We'll traverse the tree in a specific order, keeping track of the current value and its frequency, then updating our mode whenever we encounter a new, higher frequency.

Here's how the algorithm would work step-by-step:

  1. Go through the tree in a specific order, visiting the left side, then the current node, then the right side for each part of the tree. This way, we visit the nodes in sorted order.
  2. Keep track of the number we just saw and how many times in a row we've seen that exact same number.
  3. If the current number is the same as the previous one, increase the count.
  4. If the current number is different, reset the count to 1 and remember the current number.
  5. During the entire process, keep track of the highest count seen so far.
  6. If we see a count that is higher than the highest count recorded, forget the previous mode(s) and only remember the current number. It is now the only mode.
  7. If we see a count that is equal to the highest count recorded, then the current number is also a mode.
  8. Once we've visited every number in the tree, we'll know all the numbers that appear the most often and return them.

Code Implementation

class TreeNode:
    def __init__(self, val=0, left=None, right=None):
        self.val = val
        self.left = left
        self.right = right

def findMode(root):
    modes = []
    max_frequency = 0
    current_frequency = 0
    previous_value = None

    def inorder_traversal(node):
        nonlocal modes, max_frequency, current_frequency, previous_value

        if not node:
            return

        inorder_traversal(node.left)

        current_value = node.val

        if current_value == previous_value:
            current_frequency += 1
        else:
            current_frequency = 1

        # Check if current value is a mode.
        if current_frequency > max_frequency:
            # Reset modes if current frequency is higher.
            modes = [current_value]
            max_frequency = current_frequency
        elif current_frequency == max_frequency:
            # Add current value as a mode.
            modes.append(current_value)

        previous_value = current_value

        inorder_traversal(node.right)

    inorder_traversal(root)

    return modes

Big(O) Analysis

Time Complexity
O(n)The algorithm performs an inorder traversal of the binary search tree to visit each node exactly once. This traversal involves visiting the left subtree, the current node, and then the right subtree for each node. Since each node is visited only once, the time complexity is directly proportional to the number of nodes in the tree, which is denoted by n. Therefore, the time complexity is O(n).
Space Complexity
O(N)The algorithm uses recursion for the inorder traversal of the binary search tree. In the worst-case scenario (a skewed tree), the recursion stack can grow to a depth of N, where N is the number of nodes in the tree. This is because each recursive call adds a new frame to the stack. Additionally, space is used to store the mode(s), which in the worst case (all nodes have the same frequency), could also be of size N. Therefore, the auxiliary space complexity is O(N).

Edge Cases

Empty tree (null root)
How to Handle:
Return an empty list if the root is null, as there are no nodes and thus no mode.
Tree with only one node
How to Handle:
Return a list containing the value of the single node in the tree.
Tree where all nodes have the same value
How to Handle:
The algorithm should correctly identify the single value as the mode, and return a list containing only that value.
Tree with multiple modes (same frequency)
How to Handle:
The algorithm should correctly identify and return all modes in a list.
Skewed tree (e.g., all nodes on the left)
How to Handle:
Iterative inorder traversal avoids stack overflow issues that could arise with recursive approaches on highly skewed trees.
Large BST (scalability concerns)
How to Handle:
Inorder traversal has O(n) time complexity and avoids excessive memory usage by not storing entire tree in memory.
Tree with negative values
How to Handle:
The mode finding logic should function correctly with negative values as the comparison is based on frequency counts, not value ranges.
Integer overflow in count
How to Handle:
Use appropriate data type (e.g., long) for storing frequency counts to prevent overflow issues with very large trees and high frequency nodes.