Taro Logo

Longest Cycle in a Graph

Hard
Asked by:
Profile picture
Profile picture
Profile picture
46 views
Topics:
Graphs

You are given a directed graph of n nodes numbered from 0 to n - 1, where each node has at most one outgoing edge.

The graph is represented with a given 0-indexed array edges of size n, indicating that there is a directed edge from node i to node edges[i]. If there is no outgoing edge from node i, then edges[i] == -1.

Return the length of the longest cycle in the graph. If no cycle exists, return -1.

A cycle is a path that starts and ends at the same node.

Example 1:

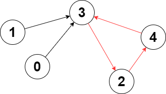
Input: edges = [3,3,4,2,3]
Output: 3
Explanation: The longest cycle in the graph is the cycle: 2 -> 4 -> 3 -> 2.
The length of this cycle is 3, so 3 is returned.

Example 2:

Input: edges = [2,-1,3,1]
Output: -1
Explanation: There are no cycles in this graph.

Constraints:

  • n == edges.length
  • 2 <= n <= 105
  • -1 <= edges[i] < n
  • edges[i] != i

Solution


Clarifying Questions

When you get asked this question in a real-life environment, it will often be ambiguous (especially at FAANG). Make sure to ask these questions in that case:

  1. What data type represents the graph, specifically how are the nodes and edges represented (e.g., adjacency list, adjacency matrix)?
  2. Is the graph directed or undirected?
  3. What should I return if there is no cycle in the graph? Should I return -1, null, or throw an exception?
  4. Can the graph be disconnected?
  5. Are there any constraints on the number of nodes or edges in the graph, such as a maximum number?

Brute Force Solution

Approach

The brute force way to find the longest cycle is to explore every possible path in the graph. We start from each node and try to find a path that leads back to the starting node, forming a cycle. By checking every single path, we can eventually determine the longest one.

Here's how the algorithm would work step-by-step:

  1. Pick a starting point in the graph.
  2. From that point, try every possible path by moving to a connected point, and then another, and another.
  3. As you explore each path, keep track of the points you've already visited.
  4. If you ever come back to the starting point, you've found a cycle.
  5. Calculate the length of that cycle (how many points are in it).
  6. Repeat this whole process starting from every other point in the graph.
  7. Compare the lengths of all the cycles you found.
  8. The longest one you found is the answer.

Code Implementation

def longest_cycle_brute_force(graph):
    longest_cycle_length = 0

    for start_node in range(len(graph)):
        for path in find_all_cycles(graph, start_node):
            cycle_length = len(path)
            # Update the longest cycle length if necessary

            if cycle_length > longest_cycle_length:
                longest_cycle_length = cycle_length

    return longest_cycle_length

def find_all_cycles(graph, start_node):
    all_cycles = []
    current_path = []
    visited_nodes = set()

    def dfs(current_node):
        nonlocal all_cycles, current_path, visited_nodes

        current_path.append(current_node)
        visited_nodes.add(current_node)

        # Explore neighbors

        for neighbor_node in graph[current_node]:
            if neighbor_node == start_node:
                # Cycle is found, add it to the list

                all_cycles.append(current_path[:] + [start_node])
            elif neighbor_node not in visited_nodes:
                dfs(neighbor_node)

        # Backtrack

        current_path.pop()
        visited_nodes.remove(current_node)

    # Initiate Depth First Search from starting node

    dfs(start_node)
    return all_cycles

Big(O) Analysis

Time Complexity
O(n!)The provided approach explores every possible path in the graph starting from each node. In the worst-case scenario, the algorithm might have to consider all possible permutations of nodes to check for cycles. For a graph with 'n' nodes, the number of possible paths can grow factorially, leading to approximately n! operations in the worst case. Therefore, the time complexity is O(n!).
Space Complexity
O(N)The brute-force algorithm explores every possible path in the graph, starting from each node. To keep track of the points already visited during a path exploration, a visited set or array is required. In the worst-case scenario, a path might visit all N nodes in the graph before returning to the starting node and forming a cycle. Therefore, the visited set/array can grow up to a size of N, contributing O(N) space. Consequently, the overall auxiliary space complexity is O(N).

Optimal Solution

Approach

The task is to find the longest loop in a directed graph. We can accomplish this efficiently by identifying starting points and then following each possible path to determine its length until we reach a loop or dead end.

Here's how the algorithm would work step-by-step:

  1. Identify all nodes in the graph that have no incoming connections. These will be our starting points for exploring paths.
  2. For each starting point, explore every possible path stemming from it using a method like depth-first search.
  3. As we explore a path, keep track of the nodes we've visited and the current path length.
  4. If we encounter a node we've already visited in the current path, this indicates a loop. Calculate the length of the loop.
  5. Keep track of the longest loop found so far. If we find a longer loop, update the longest loop length.
  6. If a path leads to a dead end (a node with no outgoing connections that doesn't form a cycle), stop exploring that path.
  7. After exploring all paths from all starting nodes, the longest loop found will be the answer.

Code Implementation

def longest_cycle(graph):
    number_of_nodes = len(graph)
    longest_cycle_length = -1

    def depth_first_search(start_node):
        nonlocal longest_cycle_length
        visited = [False] * number_of_nodes
        recursion_stack = [False] * number_of_nodes
        path = []

        def dfs_recursive(node):
            nonlocal longest_cycle_length
            visited[node] = True
            recursion_stack[node] = True
            path.append(node)

            for neighbor in graph[node]:
                if not visited[neighbor]:
                    dfs_recursive(neighbor)
                elif recursion_stack[neighbor]:
                    # Cycle detected; calculate the cycle length.
                    cycle_start_index = path.index(neighbor)
                    cycle_length = len(path) - cycle_start_index
                    longest_cycle_length = max(longest_cycle_length, cycle_length)

            recursion_stack[node] = False
            path.pop()

        dfs_recursive(start_node)

    # Find nodes with no incoming edges to start DFS from.
    indegrees = [0] * number_of_nodes
    for node in range(number_of_nodes):
        for neighbor in graph[node]:
            indegrees[neighbor] += 1

    starting_nodes = [node for node in range(number_of_nodes) if indegrees[node] == 0]

    # If no nodes with in-degree zero, start from all nodes.
    if not starting_nodes:
        starting_nodes = list(range(number_of_nodes))

    # Explore all possible paths from each starting node.
    for start_node in starting_nodes:
        depth_first_search(start_node)

    # Crucial to run DFS from every node to find all cycles
    for node in range(number_of_nodes):
        if indegrees[node] > 0:
            depth_first_search(node)

    # Because DFS might not find every cycle.
    visited_nodes = [False] * number_of_nodes
    stack = []
    def topological_sort(node):
        visited_nodes[node] = True
        for neighbor in graph[node]:
            if not visited_nodes[neighbor]:
                topological_sort(neighbor)
        stack.append(node)

    # Find all topological order for detecting cycles that DFS misses.
    for node in range(number_of_nodes):
        if not visited_nodes[node]:
            topological_sort(node)

    return longest_cycle_length

Big(O) Analysis

Time Complexity
O(V+E)The algorithm explores each node and edge in the directed graph using Depth-First Search (DFS). Identifying starting nodes with no incoming edges takes O(V) time, where V is the number of vertices. The DFS exploration potentially visits each vertex and edge once. Therefore, the time complexity is proportional to the sum of vertices and edges, resulting in O(V+E).
Space Complexity
O(N)The space complexity is determined by the depth-first search (DFS) algorithm. We maintain a 'visited' set for each starting node's path, which, in the worst case (a path traversing all nodes), can store up to N nodes, where N is the number of nodes in the graph. The recursion stack during DFS can also grow up to a depth of N in the worst-case scenario. Therefore, the auxiliary space required scales linearly with the number of nodes in the graph, resulting in O(N) space complexity.

Edge Cases

Null or empty graph (no nodes)
How to Handle:
Return 0 or an appropriate error value indicating no cycle exists.
Graph with only one node
How to Handle:
Return 0, as a single node cannot form a cycle.
Graph with two nodes and one edge
How to Handle:
Return 0, as two nodes with a single edge cannot form a cycle.
Graph with no cycles
How to Handle:
Return 0, indicating that no cycle was found.
Graph with self-loops (edge from a node to itself)
How to Handle:
Handle self-loops as a cycle of length 1, depending on problem constraints.
Disconnected graph (multiple components)
How to Handle:
The algorithm should process each component independently to find the longest cycle among them.
Graph with very large number of nodes and edges (potential stack overflow with recursive DFS)
How to Handle:
Use iterative DFS or BFS instead of recursive DFS to avoid stack overflow errors.
Graph with multiple cycles of the same maximum length
How to Handle:
The algorithm should return any one of these longest cycles, unless specifically required to return all or a specific one.