Taro Logo

Trim a Binary Search Tree

Medium
Asked by:
Profile picture
Profile picture
Profile picture
Profile picture
25 views
Topics:
TreesRecursion

Given the root of a binary search tree and the lowest and highest boundaries as low and high, trim the tree so that all its elements lies in [low, high]. Trimming the tree should not change the relative structure of the elements that will remain in the tree (i.e., any node's descendant should remain a descendant). It can be proven that there is a unique answer.

Return the root of the trimmed binary search tree. Note that the root may change depending on the given bounds.

Example 1:

Input: root = [1,0,2], low = 1, high = 2
Output: [1,null,2]

Example 2:

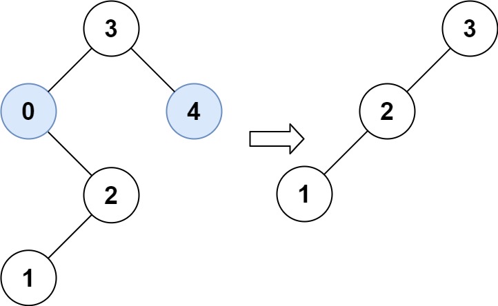
Input: root = [3,0,4,null,2,null,null,1], low = 1, high = 3
Output: [3,2,null,1]

Constraints:

  • The number of nodes in the tree is in the range [1, 104].
  • 0 <= Node.val <= 104
  • The value of each node in the tree is unique.
  • root is guaranteed to be a valid binary search tree.
  • 0 <= low <= high <= 104

Solution


Clarifying Questions

When you get asked this question in a real-life environment, it will often be ambiguous (especially at FAANG). Make sure to ask these questions in that case:

  1. What are the possible value ranges for the node values in the BST, as well as for low and high?
  2. Could the input tree be empty (root is null)? If so, what should I return?
  3. Are `low` and `high` guaranteed to be valid integers, and is `low` always less than or equal to `high`?
  4. If a node's value is equal to `low` or `high`, should it be included in the trimmed tree?
  5. Is the input guaranteed to be a valid Binary Search Tree?

Brute Force Solution

Approach

The most straightforward way to trim a binary search tree is to consider each node individually. We examine every node to determine if it falls within the specified range and remove those that don't, rebuilding the tree as needed.

Here's how the algorithm would work step-by-step:

  1. Start at the very top of the tree, the root node.
  2. Check if the current node's value is within the allowed range (between the low and high values).
  3. If the node's value is too small, completely remove that node and everything below it by replacing it with the right child.
  4. If the node's value is too big, completely remove that node and everything below it by replacing it with the left child.
  5. If the node's value is just right, then do the same check on the node to the left, and the node to the right. Essentially, keep going down the tree, repeating the process for each node.
  6. After checking all the nodes and removing the ones outside the range, you will have a trimmed tree that contains only the nodes with values within the specified range.

Code Implementation

def trim_a_binary_search_tree(root, low_value, high_value):
    if not root:
        return None

    # If current node is out of range on the lower end
    if root.val < low_value:
        return trim_a_binary_search_tree(root.right, low_value, high_value)

    # If current node is out of range on the higher end
    if root.val > high_value:
        return trim_a_binary_search_tree(root.left, low_value, high_value)

    # Node value is within the range
    # Need to trim the left and right subtrees
    root.left = trim_a_binary_search_tree(root.left, low_value, high_value)

    # Ensure only values within range are on right side
    root.right = trim_a_binary_search_tree(root.right, low_value, high_value)

    return root

Big(O) Analysis

Time Complexity
O(n)The provided solution visits each node in the binary search tree. For each node, a constant amount of work is done: comparing the node's value to the low and high bounds and potentially replacing the node with its left or right child. Since each node is visited at most once, where n is the number of nodes in the tree, the time complexity is O(n).
Space Complexity
O(H)The algorithm uses a recursive approach. The space complexity is determined by the maximum depth of the recursion stack. In the worst-case scenario, where the tree is skewed, the recursion depth can be equal to the height (H) of the tree. Thus, the auxiliary space used by the call stack is proportional to the height of the tree, where H can range from log(N) for a balanced tree, to N for a skewed tree where N is the number of nodes in the tree. Therefore, the space complexity is O(H).

Optimal Solution

Approach

The goal is to cut away parts of a search tree so only values within a certain range remain. We use the special properties of search trees to avoid looking at every single node, making the process much faster. By only exploring nodes that are potentially within the range, we dramatically cut down on unnecessary checks.

Here's how the algorithm would work step-by-step:

  1. Start at the very top of the tree.
  2. If the current node's value is too small, we know the entire left side of the tree is also too small, so we replace the current node with its right child (which is guaranteed to be within the allowed range or larger).
  3. If the current node's value is too big, we know the entire right side of the tree is also too big, so we replace the current node with its left child (which is guaranteed to be within the allowed range or smaller).
  4. If the current node's value is just right (within the desired range), we look at its left and right children and apply the same process to them.
  5. Keep repeating these steps going down the tree, adjusting the children of each node until everything outside the desired range is removed.

Code Implementation

def trim_bst(root_node, low_value, high_value):
    if not root_node:
        return None

    if root_node.val < low_value:
        # Node is too small, return right subtree
        return trim_bst(root_node.right, low_value, high_value)

    if root_node.val > high_value:
        # Node is too large, return left subtree
        return trim_bst(root_node.left, low_value, high_value)

    # Node is within range, process subtrees
    root_node.left = trim_bst(root_node.left, low_value, high_value)

    # Trimming the right sub-tree
    root_node.right = trim_bst(root_node.right, low_value, high_value)

    return root_node

Big(O) Analysis

Time Complexity
O(n)The algorithm processes the tree in a way that it only visits nodes that are potentially within the range [low, high]. In the worst case, where the range [low, high] covers a significant portion of the tree, the algorithm might need to visit almost every node. Thus the time complexity is proportional to the number of nodes n in the tree. The recursive calls prune subtrees that are completely outside the range, which significantly reduces the search space, but in the worst case, it still examines most nodes, approximating O(n).
Space Complexity
O(H)The algorithm's space complexity is determined by the recursion stack. In the worst case, where the tree is highly skewed, the recursive calls could potentially go as deep as the height (H) of the tree, with each call adding a frame to the stack. Therefore, the auxiliary space used is proportional to the height of the tree. In the best case, where the tree is balanced, H would be log(N), and in the worst case, it can be N.

Edge Cases

root is null
How to Handle:
Return null immediately if the root is null, indicating an empty tree.
low equals high
How to Handle:
Handle correctly by still performing the trim operation based on the single value in the range.
All nodes are smaller than low
How to Handle:
The recursive calls should propagate null back up the tree, resulting in a null root.
All nodes are larger than high
How to Handle:
The recursive calls should propagate null back up the tree, resulting in a null root.
low is smaller than the minimum value in the tree and high is greater than the maximum value in the tree
How to Handle:
The function should return the original root because no nodes need to be trimmed.
A deeply unbalanced BST (e.g., a linked list structure)
How to Handle:
Recursion might lead to stack overflow for extremely unbalanced trees, but the algorithm's correctness isn't affected.
Duplicate values within the valid range
How to Handle:
The algorithm correctly handles duplicates because it operates based on range, not specific value uniqueness.
low or high is null
How to Handle:
Ensure to gracefully handle null low or high values by considering them as negative or positive infinity respectively (depending on the language, proper null-aware handling would be required).